Generar el capital con el que cuentas ha implicado tiempo y esfuerzo, por lo que es muy importante analizar bien dónde o en qué invertirlo. Lo más conveniente es destinarlo a un proyecto que tenga un buen crecimiento y que en periodos cortos genere cada vez más y más ganancias. La pregunta entonces es ¿cómo saber si un negocio es seguro o no?
Pues bien, en la actualidad existen varias fórmulas financieras para hacerlo, entre ellas la tasa de rendimiento mínima aceptable, y justamente sobre eso hablaremos en esta oportunidad. Acompáñanos a descubrir qué es, cuál es su importancia, cuáles son las formas para calcularla y un ejemplo que te mostrará cómo hacerla.
Calcula la TREMA de tu negocio
Calcula la Tasa de Rentabilidad Esperada del Mercado Ajustada (TREMA) de tu negocio para evaluar la viabilidad y rentabilidad de inversiones o proyectos.
Descargar ahora
Todos los campos son obligatorios.
¿Qué es TREMA?
La tasa de rendimiento mínima aceptable o TREMA es la medida de rentabilidad mínima que exigen los inversores a un proyecto al que han destinado capital. Con ella determinan qué tan viable es la inversión a futuro. Para estimarla se tienen en cuenta la inflación, la prima de riesgo y el estado financiero de la empresa.

A esta también se le conoce como tasa mínima aceptable de rendimiento (TMAR) o tasa de interés mínima (TIMA). Es una estimación que no pasa desapercibida a los ojos de los emprendedores, empresarios e inversores, pues con ella se puede conocer qué tan exitoso puede ser un negocio y demostrarlo en una junta de negocios.
No es una cuestión de adivinación y eso lo saben muy bien los y las emprendedoras que han revolucionado el mundo empresarial. Por eso, para realizar cálculos más exactos, la TREMA se basa en el monto de la inversión inicial del proyecto, los gastos que surgen luego de que se inaugure el negocio, los pagos de impuestos tributarios requeridos, los intereses que se le pagan a los inversionistas por aportar su capital, entre otros aspectos.
Importancia de la tasa de rendimiento mínima aceptable
La persona que invierte lo hace con el propósito de que su dinero crezca conforme pase el tiempo, por lo que es indispensable que sepa cuáles serán los beneficios económicos que obtendrá al compartir su capital. Así que la tasa rendimiento mínima aceptable ayuda a establecer sus expectativas.
Asimismo, determina los riesgos que se pueden presentar, ya que al realizar una proyección al futuro de al menos 5 años se identifica rápidamente si generará ganancias o solo habrá pérdidas de capital. En ese sentido, la TREMA es una medida preventiva para que este tipo de inconvenientes no les ocurran a empresarios, inversionistas, emprendedores, prestamistas o bancos.
3 formas de obtener la TREMA
1. Fórmula general
Esta cumple con el propósito de estimar la rentabilidad de un negocio para los inversores. Es la forma más sencilla de calcular y se puede utilizar para cualquier tipo de empresa.
TREMA = tasa de inflación + prima de riesgo
Ambas variables se representan por medio de un porcentaje. La tasa de inflación se obtiene de las cifras reportadas anualmente por el país en el que se encuentre el negocio, principalmente a través de páginas oficiales del gobierno o de bancos, y se obtiene el promedio. Por ejemplo, tomamos los datos de esta página de gobierno de la tasa de inflación de los últimos 5 años.

Imagen de Proyectos México
Después, ya sea con una calculadora o con Excel, vamos a sumar las tasas de inflación y dividirlas entre 5.
Promedio tasa de inflación = 4,83 + 2,83 +3,15 + 7,36 + 8,70 / 5 = 5,37%
La prima de riesgo o riesgo a la inversión la realizan especialistas o inversionistas con base en las finanzas del proyecto y estudios de mercado.
2. VAN
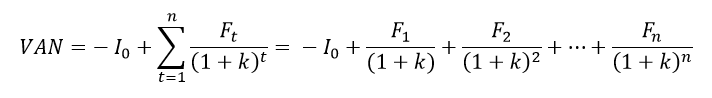
El valor actual neto (VAN), también conocido como VNP, es el criterio que se usa para determinar la viabilidad económica teniendo en cuenta la inversión inicial (I), los flujos de efectivo neto (F) y la tasa de interés (k) y años de beneficios (n). Se basa en esta fórmula algebraica:

Imagen de Economipedia
Puede parecer complicada de entender, pero descuida: con Excel es muy fácil aplicarla y más adelante te mostraremos cómo hacerlo. Según sea la cifra resultante se establecerá qué tan rentable es un negocio.
- Si el resultado de VAN es mayor a 0 significa que genera beneficios.
- Si VAN es igual a cero entonces no habrá ganancias ni pérdidas.
- Si la cifra de VAN es menor a 0 quiere decir que habrá pérdidas.
De cualquier modo, cuanto obtengas los pronósticos y veas que no son tan favorables, te recomendamos aplicar un growth hacking, que te ayudará a obtener más ganancias a un menor costo o un programa de aceleración de empresas para catapultar tu emprendimiento.
3. TIR
La tasa interna de retorno (TIR), también conocido como IRR en inglés, sirve para medir el rendimiento de una empresa conforme esta va avanzando a lo largo de los años; está muy ligada con la VAN. Para calcularse toma como variables los flujos de efectivo (Fn), el monto de la inversión inicial (I) y el número de periodos o años (n).

Imagen de IEP
Para evaluar su resultado, el porcentaje obtenido se compara con la tasa de interés, también llamada costo de capital o tasa de descuento.
- Si el % de TIR es mayor al % de tasa de interés, entonces es rentable.
- Si el % de TIR es menor al % de tasa de interés no es redituable.
Ahora que ya sabes qué es la TREMA y las formas en que se puede conseguir, vamos a mostrarte un ejemplo hipotético de cómo calcularla utilizando Excel u otra hoja de cálculo.
Cómo calcular la TREMA en Excel
- Elaborar tabla en Excel
- Obtener los flujos de efectivo
- Sumar los flujos de efectivo
- Sumar valores presentes
- Estimar VAN o VNA
- Aplicar función TIR
- Analizar resultados
1. Elaborar tabla en Excel
Abrimos una hoja de cálculo y realizamos una tabla con los siguientes conceptos: inversión inicial, tasa de interés, periodo, entradas, salidas, flujos de efectivo neto, valor presente, valor presente de la suma de flujos, valor actual neto, tasa interna de retorno. Justo como se ve en la siguiente imagen.

Luego, ingresamos los datos correspondientes a la inversión inicial, la tasa de interés, las entradas (ganancias) y las salidas del negocio (costos) de acuerdo con una prospección de 5 años. La cifra de inversión inicial ($365.000) pasa en negativo (-$365.000) en las columnas de Salidas y Flujos de efectivo neto.

2. Obtener los flujos de efectivo
Ahora, para obtener los flujos de efectivo haremos una resta de entradas a salidas, como se muestra en la imagen. Luego, podemos arrastrar el recuadro verde hacia abajo para que se autocomplete la columna.

3. Obtener valores presentes
En el siguiente paso hay que poner atención en llenar la columna de valor presente. Para ello haremos la siguiente operación:
Valor presente año 1 = flujo de efectivo del primer año / (1 + tasa de interés) ^ número de periodo
En este caso, hay que colocar el acento circunflejo (^) para ponderar el resultado. En la hoja de cálculo lo seleccionamos como aparece en la imagen de abajo. Cabe mencionar que la tasa de interés (C4) la fijamos con F4 o agregando un $ antes de C y de 4, con el fin de arrastrar la fórmula por toda la columna; lo logramos al deslizar hacia abajo la esquina derecha inferior del cuadro verde.

4. Sumar valores presentes
Antes de continuar con el VAN y el TIR, es necesario realizar la suma total de los valores presentes. Vamos a ayudarnos de la función SUMAR de Excel; enseguida seleccionamos todas las casillas de la columna de Valor presente; cerramos paréntesis y damos "enter" para obtener el resultado.

5. Estimar VAN o VNA
Todos los pasos anteriores que realizamos harán que sea mucho más fácil calcular la VAN. Nos vamos a la casilla VAN, damos "=", ponemos el signo de "-" y seleccionamos la Inversión inicial; luego, ingresamos el signo de "+", señalamos el Valor presente de la suma de los flujos y damos "enter". No debes olvidar el signo de resta al inicio de la inversión inicial. Así es como obtenemos que VAN = -$152.882.

Dentro de Excel también hay una función especial para calcular el valor actual neto. La podemos encontrar como VNA en español y como NPV en inglés, dependiendo del idioma de tu programa. Si quieres aplicar o comprobar la que se ha efectuado con la suma anterior, sería así:
Valor actual neto= - inversión inicial + VNA ( tasa de interés, columna de valores flujo de efectivo neto).
En la casilla de Excel, este ejemplo quedaría =-C3+VNA(C4,E9:E13).
6. Aplicar función TIR
Para obtener la tasa interna de retorno está disponible la función TIR en versión español e IRR en versión inglés de Excel. Nos colocamos en la casilla correspondiente, damos "="; luego, escribimos la función y la agregamos; después abrimos paréntesis, seleccionamos toda la columna de Flujos de efectivo neto, cerramos paréntesis y damos clic en la tecla de "enter". De esta forma sabemos que el TIR de este ejemplo es igual al -8 %.

7. Analizar resultados
Este es el momento que estábamos esperando, es cuando determinamos si el negocio es viable para invertir en él o no. En primer lugar, tenemos un VAN de -$152.882. Recuerda lo que mencionamos al principio: hay que comparar este resultado con cero; en este caso es negativo y menor, y eso significa que presenta pérdidas.
Luego, encontramos que el TIR equivale a -8 %. Y como este se compara con la tasa de interés, que es 9 %. Vemos que es negativo y menor, por lo que tampoco es conveniente invertir. Ambas fórmulas nos confirman y advierten que las cuentas de este negocio no son rentables.

Hasta aquí hemos llegado con lo esencial de la tasa de rendimiento mínimo aceptable, con lo cual ya podrás deducir si tu negocio, o el de un tercero, es un proyecto en el que sea beneficioso invertir recursos o no.
Emprendimiento